alarm
Задайте вопрос
Биология
Lilyana

посчитайте с алгеброй 15 Поинтов 4 примера О​

ответы: 1
Зарегистрируйтесь, чтобы добавить ответ
Ответ:

:

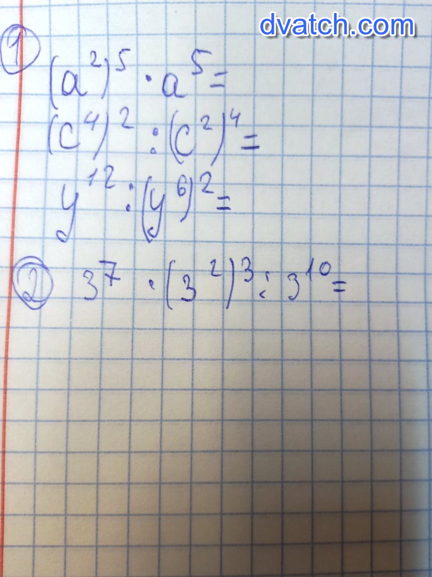
1) (a^2)^5*a^5=a^10*a^5=a^15

2). (c^4)^2:(c^2)^4=c^8:c^8=c^0=1

3) y^12:(y^6)^2=y^12:y^12=y^0=1

4) 3^7*(3^2)^3:3^10=3^7*3^6:3^10=3:3^10=3^-9

327
Iston
Чтобы ответить необходимо зарегистрироваться.

Другие вопросы: - Биология

Две работницы по набору текста в

Чему равна площадь? посчитайте

Первый сигнал гражданской оборон

вопросы до повисти Климко Григор

Завдяки існуванню якого класу Т.

за помощь даю 25 поинтов <3​

Контакты
Реклама на сайте