alarm
Задайте вопрос
Геометрия
Kasper

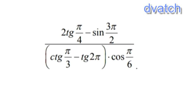
Вычислить:пример на фотографии​

ответы: 1
Зарегистрируйтесь, чтобы добавить ответ
Ответ:

tg p4 это 1

син 3п:4 это -1

ктг п:3 это √3:3

тг 2п это 0

кос √3:2

6

104
heap
Чтобы ответить необходимо зарегистрироваться.

Другие вопросы: - Геометрия

посчитайте В правильной треу

посчитайте задачу (она прикрепле

Математика. посчитайте Задачу:

1. Докажите второе свойство пара

посчитайте . И напишите решение

. В треугольной пирамиде PABC с

Контакты
Реклама на сайте