alarm
Задайте вопрос
Алгебра
Forget

посчитайте Упростите выражение​

ответы: 1
Зарегистрируйтесь, чтобы добавить ответ
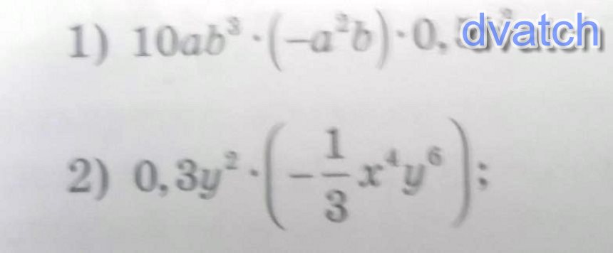
Ответ:

1) 10ab^{3}*(-a^{2}b)*0. 5b^{3} = -10a^{3}b^{4}*0. 5b^{3} =-5a^{3}b^{7}

2)0. 3y^{2} * (-frac{1}{3} x^{4} y^{6} ) = frac{3}{10} y^{2} *(-frac{1}{3}x^{4}y^{6})=-frac{1}{10}x^{4}y^{8}

120
dub
Чтобы ответить необходимо зарегистрироваться.

Другие вопросы: - Алгебра

посчитайте Нужны Пословицы на

какой наименьший возможный резул

На путь из A в B пешеход тратит

посчитайте сор по алгебре

найти нули функции 1) F(x) = х2

алгебра 9 класс посчитайте​

Контакты
Реклама на сайте