Crippa Amanda
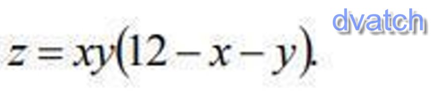
В точке функция
имеет максимум
Пусть x = 0
y(12 - y) =2xy
y(12 - y) =2y * 0
y(12 - y) = 0
(0;0) , (0;12)
Пусть y = 0
x(12 - x) =2xy
x(12 - x) =2x * 0
x(12 - x) = 0
(0;0) , (12;0)
(4;4)
Точки подозрительные на экстремум:
Так как то в точке
экстремума не существует
Так как то в точке
экстремума не существует
Так как и
то в точке
максимум функции
Так как то в точке
экстремума не существует
Christopher