alarm
Задайте вопрос
Алгебра
Auge

посчитайте НУЖНО ДОКАЗАТЬ ТОЖДЕСТВО ​

ответы: 1
Зарегистрируйтесь, чтобы добавить ответ
Ответ:

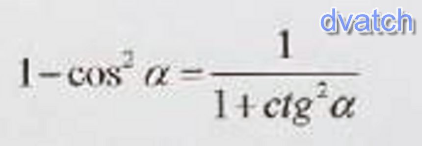
доказать тождество displaystylebf\1-cos^2alpha =frac{1}{1+ctg^2alpha }

воспользуемся формулами

bf\sin^2alpha +cos^2alpha =1\\ctgalpha =dfrac{cosalpha }{sinalpha }

1) преобразуем левую часть

bf\ 1-cos^2alpha =sin^2alpha

2) преобразуем правую часть

displaystylebf\frac{1}{1+ctg^2alpha } =frac{1}{1+dfrac{cos^2alpha }{sin^2alpha } } =frac{1}{dfrac{sin^2alpha +cos^2alpha }{sin^2alpha }} =frac{sin^2alpha }{sin^2alpha +cos^2alpha } =sin^2alpha

3) левая часть равна правой sin²α = sin²α

тождество доказано

446
Alan Cole
Чтобы ответить необходимо зарегистрироваться.

Другие вопросы: - Алгебра

(2⁷×2‐⁴)³÷16×32 комектемындерш​

відомо що х/у=10. знайдіть значе

Складіть твір-роздум на тему "Як

При каком значении А уравнение (

Решить уравнение (1-3х) (х+2)=0​

Контакты
Реклама на сайте