alarm
Задайте вопрос
Алгебра
Singleton

посчитайтеееее ООООО. АЛГЕБРА 8 КЛАСС. ТОЛЬУО ЧЕСТНО ​НУЖНО СЕЙЧАС ОТВЕТ,ОЧЕНЬ ОО

ответы: 1
Зарегистрируйтесь, чтобы добавить ответ
Ответ:

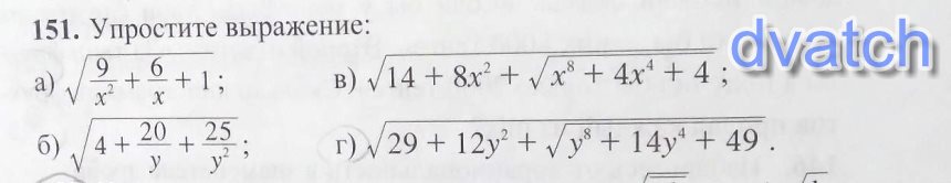
номера-151 на данном фото.

п. с. если не сложно поставьте как лучший .

93
Campo Caterina
Чтобы ответить необходимо зарегистрироваться.

Другие вопросы: - Алгебра

посчитайте оо упростите выраж

1.На плане участка представлено

велосипедист ехал из города в се

Приведи дроби 4t/p, t/t−p и 1/t+

, ДАЮ 25 поинтовВ трёх вагонах э

посчитайте умоляю. ​

Контакты
Реклама на сайте