alarm
Задайте вопрос
Алгебра
waterfall

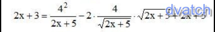
посчитайте данное уравнение​

ответы: 1
Зарегистрируйтесь, чтобы добавить ответ
Ответ:

-7/6

Странно, зачем корни , если они сразу сокращаются. Наверное для ОДЗ.

Обозачим 2х+5=у По ОДЗ у больше 0.

у-2=16/у-8+у

6=16/у

у=8/3

х=(у-5)/2=-7/6

234
Agamanara
Чтобы ответить необходимо зарегистрироваться.

Другие вопросы: - Алгебра

Даны векторы a=(2;-4;5) и b=(4;-

Два маляры, работая вместе, могу

Решить (sint/tgt) ^2+(cost/ctgt)

Длина прямоугольника - ? на 4 см

Упрости выражение 4(0,4+)−6(4−)

Ко по алгебре очень важно п

Контакты
Реклама на сайте