alarm
Задайте вопрос
Математика
Milpitas

посчитайте даю 10 поинтов ​

ответы: 1
Зарегистрируйтесь, чтобы добавить ответ
Ответ:

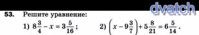
1)

8frac{3}{4} - x = 3frac{5}{16}\frac{35}{4} - x = frac{53}{16} \frac{140}{16}- frac{53}{16} = x\x = 5frac{7}{16}

2)

(x - 66 : 7) + 113 : 21 = 89 : 14

x - 66 : 7 + 113 : 21 = 89 : 14

x = 66 : 7 + 89 : 14 - 113 : 21

x = 396 : 42 + 267 : 42 - 226 : 42

x = 467 : 42

x = 11frac{5}{42}

39
Juanita
Чтобы ответить необходимо зарегистрироваться.

Другие вопросы: - Математика

1) -5,8 и 9,12)-0,9 и 1,83)-12,3

Сократить дроби. 4/20, 6/42, 6/1

в олимпиаде по математике участв

целая часть 9 1/2УМОЛЯЮ посчит

посчитайте или объясните ​

Начертите координатный луч приня

Контакты
Реклама на сайте