alarm
Задайте вопрос
Алгебра
syllable

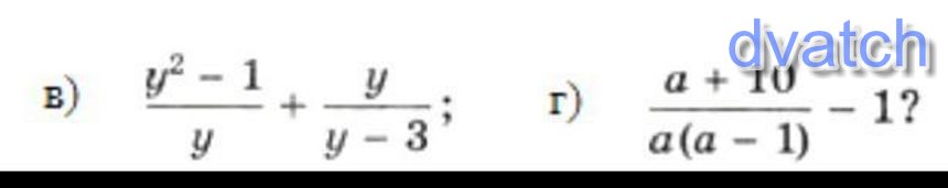
При каких значениях переменной имеет смысл выражение?​

ответы: 1
Зарегистрируйтесь, чтобы добавить ответ
Ответ:

Объяснение: Под линией дроба никогда не должен быть ноль, на ноль делить нельзя

44
misery
Чтобы ответить необходимо зарегистрироваться.

Другие вопросы: - Алгебра

прошу вас ответить на мой вопрос

79. Докажите, что: а) сумма 24×1

Вариант 1 1. Найдите значение вы

0,01а⁶b⁴ посчитайте ...и если

7.3 Задание посчитайте пожалус

Подберите число а так, чтобы ура

Контакты
Реклама на сайте