alarm
Задайте вопрос
Математика
Sandi

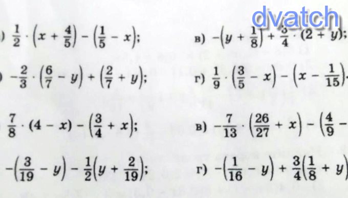
26 186 al 4 - 2) - G+ x) --G-u)* 365+w). ​

ответы: 1
Зарегистрируйтесь, чтобы добавить ответ
Ответ:

я незнаю извини бро я бы сделал бы щяс занят прости

прости

382
Lauritsen
Чтобы ответить необходимо зарегистрироваться.

Другие вопросы: - Математика

Вспомните изученные знания со ст

Отдых семьей МАТЕМАТИКА В ЖИЗНИ

0.... 71. Пусть P(x,y): х- родит

из круга радиусом 5 см вырезали

Реши задачу: с к обеду мама испе

хелп миии посчитайте как тооо​

Контакты
Реклама на сайте