IngeborgR
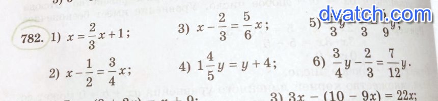
2) х-1/2=3/4х
х-3/4х=1/2
4/4х-3/4х=1/2
1/4х=1/2
х=1/2÷1/4
х=1/2×4/1
х=1/1×2/1
х=2/1
x=2
4)1 4/5у=у+4
1 4/5у-у=4
4/5у=4
у=4÷4/5
у=4/1×5/4
у=1/1×5/1
y=5
6)3/4у-2/3=7/12у
3/4у-7/12у=2/3
9/12у-7/12у=2/3
2/12у=2/3
1/6у=2/3
у=2/3÷1/6
у=2/3×6/1
у=2/1×2/1
у=4/1
y=4
Vyacheslav