alarm
Задайте вопрос
Математика
Erika Smith

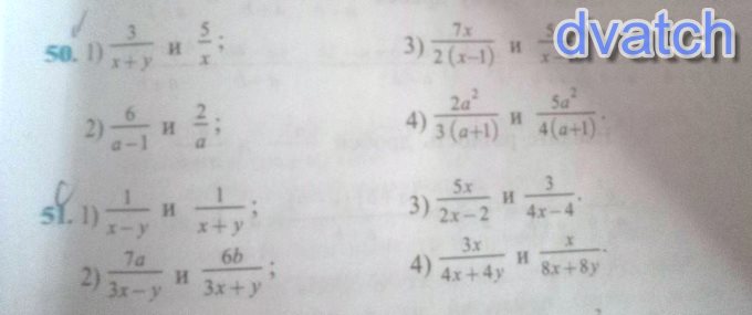
Приведите следующие дроби к общему знаменателю 50 51 ​

ответы: 1
Зарегистрируйтесь, чтобы добавить ответ
Ответ:
Задние очевидное, просто перемножаешь на недостающие множители
220
Norton
Чтобы ответить необходимо зарегистрироваться.

Другие вопросы: - Математика

Признаки делимости на 2, 5, 10На

в одном куске колбасы 1кг 300г а

Определите расстояние на местнос

№1 диаметр круга равен 12 см Най

прошу, посчитайте покажите

в) В туристическом агентстве име

Контакты
Реклама на сайте