Lauren Davis
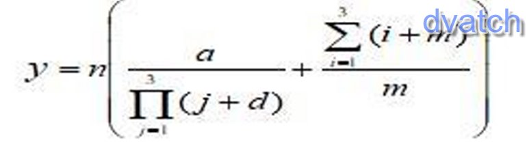
n = float(input('Введите n: '))
a = float(input('Введите a: '))
d = float(input('Введите d: '))
m = float(input('Введите m: '))
P = 1
for j in range(1,4):
P *= j + d
S = 0
for i in range(1,4):
S += i + m
y = n*(a/P + S/m)
print('y равно: ',y)
Valerie Brown