alarm
Задайте вопрос
Алгебра
health

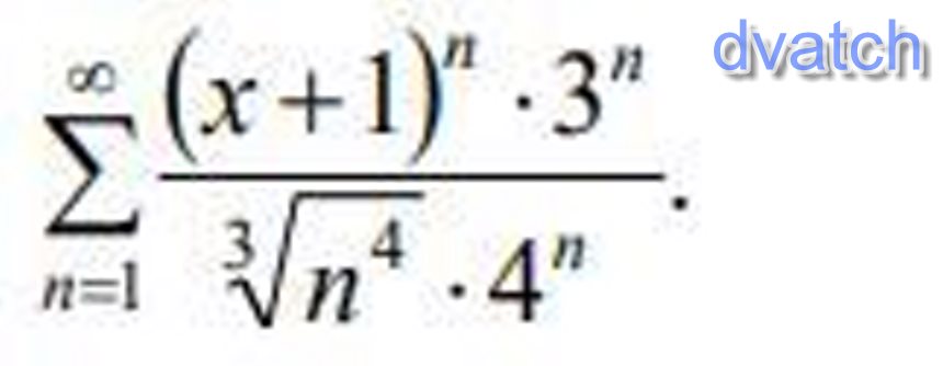
Найти область сходимости степенного ряда.

ответы: 1
Зарегистрируйтесь, чтобы добавить ответ
Ответ:

displaystyle sum limits _{n=1}^{infty }frac{(x+1)^{n}cdot 3^{n}}{sqrt[3]{n^4}cdot 4^{n}}\\\limlimits_{n to infty}, frac{|u_{n+1}|}{|u_{n}|}=limlimits_{n to infty}, frac{|x+1|^{n+1}cdot 3^{n+1}}{sqrt[3]{(n+1)^4}cdot 4^{n+1}}cdot frac{sqrt[3]{n^4}cdot 4^{n}}{|x+1|^{n}cdot 3^{n}}=frac{3}{4}cdot |x+1|<1\\\|x+1|<frac{4}{3}to-frac{4}{3}<x+1<frac{4}{3},-frac{7}{3}<x<frac{1}{3}

displaystyle x=frac{1}{3}:sum limits _{n =1}^{infty }frac{(frac{4}{3})^{n}cdot 3^{n}}{sqrt[3]{n^4}cdot 4^{n}}=sum limits _{n =1}^{infty }frac{1}{n^{4/3}}- sxoditsya\\\x=-frac{7}{3}:sum limits _{n =1}^{infty }frac{(-frac{4}{3})^{n}cdot 3^{n}}{sqrt[3]{n^4}cdot 4^{n}}=sum limits _{n =1}^{infty }frac{(-1)^{n}}{n^{4/3}}- sxoditsya absolutno\\\xin Big[-frac{7}{3} ; frac{1}{3} Big]

402
solid
Чтобы ответить необходимо зарегистрироваться.

Другие вопросы: - Алгебра

4.14 Выпишите верные равенства

a²- b² = b²- a² посчитайте ​

посчитайте решить номер 3 и 4, а

Как узнать сколько будет 13 13/4

сократите дроби, посчитайте

посчитайте очень надо​

Контакты
Реклама на сайте