hay
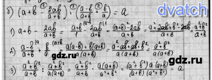
в 1 действии просто привели к общему знаменателю , привели подобные и получили исходную дробь
во 2 действии всё тоже самое , привели к общему знаменателю , сократили одинаковые значения и получили дробь
в 3 действии поделили 2 дроби , 2 дробь переворачивается , привели всё к одной дроби , сократили и осталось a
Philadelphia