alarm
Задайте вопрос
Алгебра
Vega

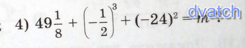
посчитайте пж даю 25 поинтов​

ответы: 1
Зарегистрируйтесь, чтобы добавить ответ
Ответ:

упростим левую часть уравнения.

49 1/8-1/8+576=m²

m²=625; 625=25²

m²-25²=0; (m-25)*(m+25)=0;

m-25=0⇒m=25;

m+25=0⇒m=-25

-25; 25

482
tackle
Чтобы ответить необходимо зарегистрироваться.

Другие вопросы: - Алгебра

При каких значениях переменной и

прошу вас ответить на мой вопрос

79. Докажите, что: а) сумма 24×1

Вариант 1 1. Найдите значение вы

0,01а⁶b⁴ посчитайте ...и если

7.3 Задание посчитайте пожалус

Контакты
Реклама на сайте