Hendrix
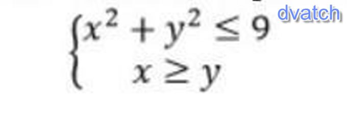
1). окружность с центром в точке О(0;0) и радиусом R=3. неравенство нестрогое, => окружность сплошная. заштриховать внутренность окружности.
2). прямая у=х, биссектриса I и IIIкоординатных углов. прямая сплошная, заштриховать полуплоскость ниже прямой.
во вложении:
пересечение штриховок:
полукруг+отрезок прямой - диаметр окружности(красным цветом)
fountain