alarm
Задайте вопрос
Алгебра
novel

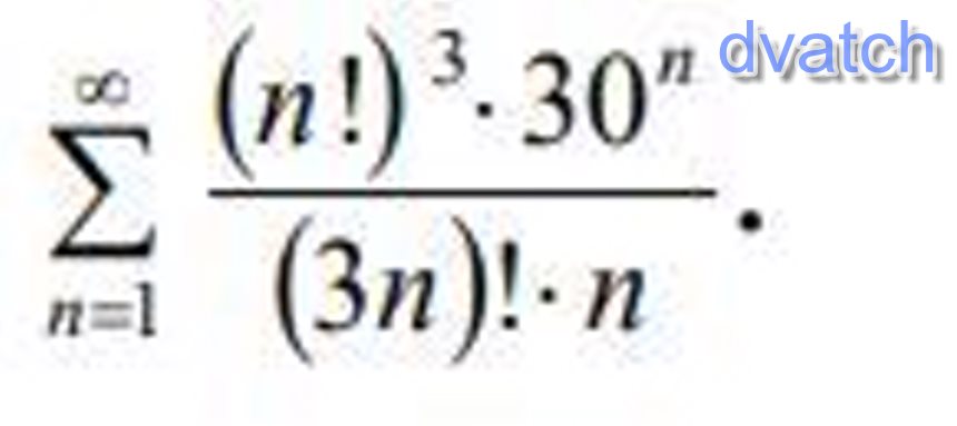
Исследовать числовой ряд на сходимость.

ответы: 1
Зарегистрируйтесь, чтобы добавить ответ
Ответ:

displaystylesum limits _{n=1}^{infty }frac{(n!)^{3}cdot 30^{n}}{(3n)!cdot n}\\\limlimits_{n to infty}, frac{a_{n+1}}{a_{n}}=limlimits_{n to infty}, frac{(n!)^3cdot (n+1)^3cdot 30^{n+1}}{(3n)!(3n+1)(3n+2)(3n+3)cdot (n+1)}cdot frac{(3n)!cdot n}{(n!)^3cdot 30^{n}}=\\\=limlimits_{n to infty}, frac{(n+1)^3cdot 30}{(3n+1)(3n+2)(3n+3)}=limlimits_{n to infty}, frac{n^3cdot 30}{27n^3}=frac{30}{27}=frac{10}{9}>1 , rasxoditsya

312
Ellen Jones
Чтобы ответить необходимо зарегистрироваться.

Другие вопросы: - Алгебра

Найти область сходимости степенн

4.14 Выпишите верные равенства

a²- b² = b²- a² посчитайте ​

посчитайте решить номер 3 и 4, а

Как узнать сколько будет 13 13/4

сократите дроби, посчитайте

Контакты
Реклама на сайте