alarm
Задайте вопрос
Физика
Evtim

посчитайте проверьте ли правильно сделал и объясните подробнее как это делать​

ответы: 1
Зарегистрируйтесь, чтобы добавить ответ
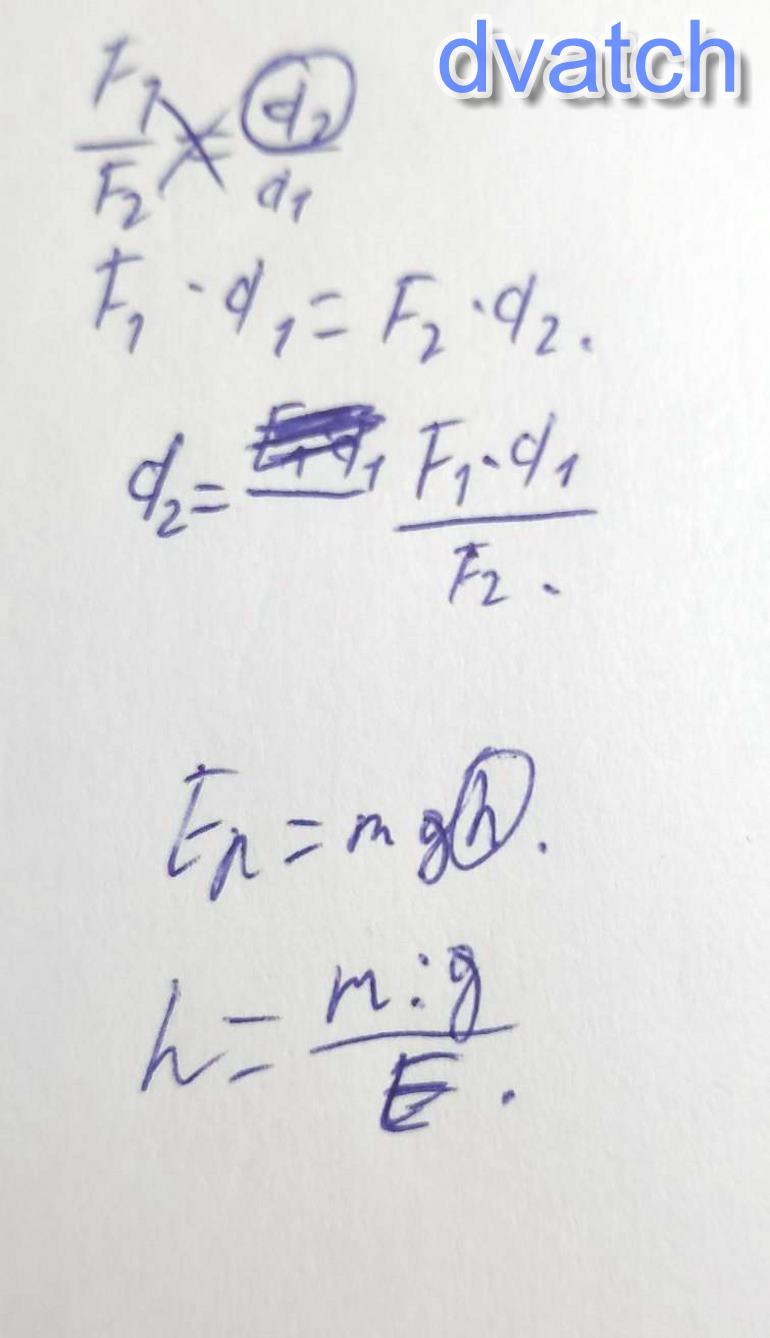
Ответ:

h= m×g÷E

все правильно , не правильна последняя формула

292
Centrithris
Чтобы ответить необходимо зарегистрироваться.

Другие вопросы: - Физика

Как узнать сколько протонов в со

, Заполните следующую та

Определите потенциальную энергию

Ежесекундно наша планета со всем

Как узнать, что в данной точке п

Скорость заца 60км/ч,скорость че

Контакты
Реклама на сайте