alarm
Задайте вопрос
Алгебра
Iosif

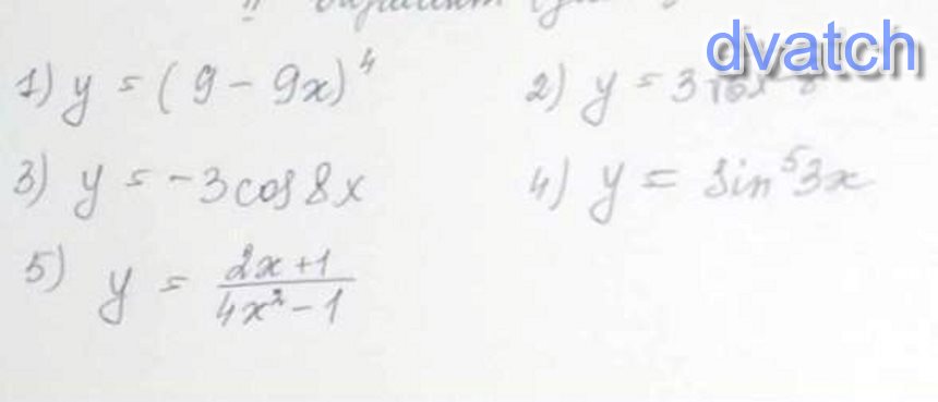
найти производную функции. 1)y = (9 - 9x) ^{4 }2)y = 3 sqrt{6x - 8} 3)y = - 3 cos8x4)y = sin^{5} 3x5)y = frac{2x + 1}{4x {}^{2} - 1} помоги ​

ответы: 1
Зарегистрируйтесь, чтобы добавить ответ
Ответ:

!!!!!

Насчет 4-го не уверен правильно ли решил , пардон

163
Fournier
Чтобы ответить необходимо зарегистрироваться.

Другие вопросы: - Алгебра

3,7+12+(-1,33y)=-6+3,7-2,33y.Пж

посчитайте методом алгебраическо

очень В область определения фун

посчитайте решить В ходе химичес

, помощь нужна, 5 класс .​

не удаляйте пж. посчитайте ес

Контакты
Реклама на сайте