alarm
Задайте вопрос
Алгебра
Emma

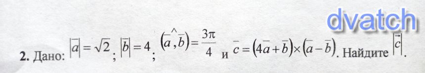
посчитайте решить пример векторного произведения векторов

ответы: 1
Зарегистрируйтесь, чтобы добавить ответ
Ответ:

|a|=sqrt{2} ;|b|=4; cosalpha=cos(ab)=cosfrac{3pi }{4} =-frac{sqrt{2}}{2} ;\|a||b|cosalpha=sqrt{2}*4*(-frac{sqrt{2}}{2} )=-4\c=(4a+b)(a-b)=4|a|^{2}+(ba)-4(ab)-|b|^{2}=4*2-16-3(ab)=-8-3|a||b|cosalpha=-8-3(sqrt{2}*4*(-frac{sqrt{2}}{2} )=-8-3(-4)=4|c|=4

93
Silverwind
Чтобы ответить необходимо зарегистрироваться.

Другие вопросы: - Алгебра

5.18. Верно ли, что значение выр

В равнобедренном треугольнике ос

Выполнить деление. даю 15 по

дано :угл 3=52° найти:угл 1+угл

винесіть множник з під знака кор

2. посчитайте задачу с помощью

Контакты
Реклама на сайте