alarm
Задайте вопрос
Алгебра
Yacyshina

посчитайте ,надо очень,прошу. Надо поривнянняты,что больше,а что меньше. ​

ответы: 1
Зарегистрируйтесь, чтобы добавить ответ
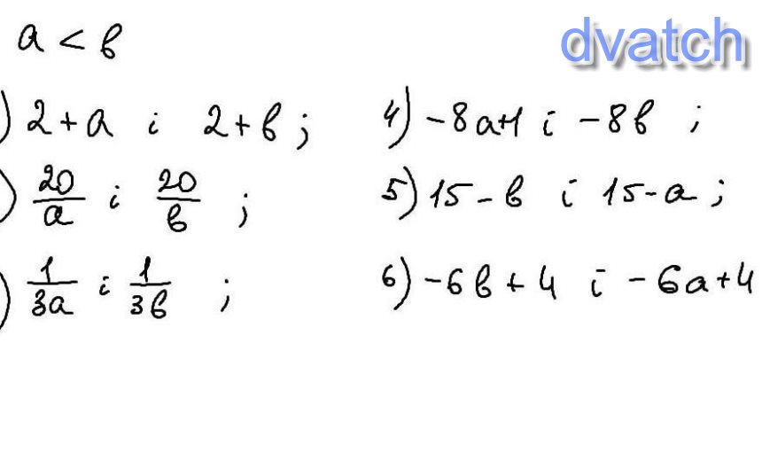
Ответ:

1) 2+а < 2+b

2)20/a > 20/b

3)1/3a>1/3b

4) -8a+1 >-8b

5) 15-b < 15-a

6) -6b+4< -6a+4

495
Opiwyn
Чтобы ответить необходимо зарегистрироваться.

Другие вопросы: - Алгебра

посчитайте решить уравнения,

Смежные и вертикальные углы, их

По шоссе идут две машины с одной

2. Упростите выражение: посчит

посчитайте решить пример векторн

5.18. Верно ли, что значение выр

Контакты
Реклама на сайте